1、我们以简单的CS放大器为例,来说明高增益和高速度之间的一对矛盾

2、先来考虑低频增益AV0

3、我们以NMOS和pmos都处于强反型饱和区为例,则gm的表达式如下

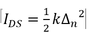
4、强反型饱和区的电流IDS为下式子

5、所以就很容易推导出在强反型饱和的低频增益AV0

6、要是AV0增大的话,则需过驱动电压减小,则IDS就会减小,这个静态电流减小的话,则给负载电容CL充放电的动态电流也不会很大,这样充放电时间就会很长,所以速度很慢,这就是高增益和高速度的矛盾所在。
时间:2024-11-04 03:11:38
1、我们以简单的CS放大器为例,来说明高增益和高速度之间的一对矛盾
2、先来考虑低频增益AV0
3、我们以NMOS和pmos都处于强反型饱和区为例,则gm的表达式如下
4、强反型饱和区的电流IDS为下式子
5、所以就很容易推导出在强反型饱和的低频增益AV0
6、要是AV0增大的话,则需过驱动电压减小,则IDS就会减小,这个静态电流减小的话,则给负载电容CL充放电的动态电流也不会很大,这样充放电时间就会很长,所以速度很慢,这就是高增益和高速度的矛盾所在。