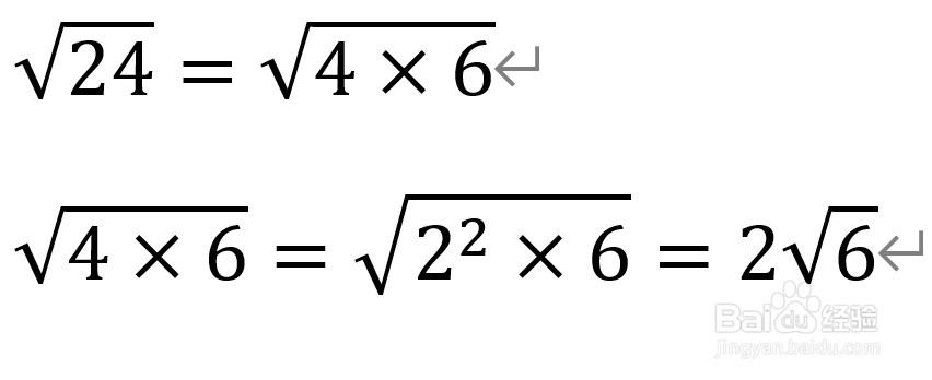
根号24怎么化简

 时间:2026-02-25 23:26:54

1、根式乘除法法则:

同次根式相乘(除),把根式前面的系数相乘(除),作为积(商)的系数;把被开方数相乘(除),作为被开方数,根指数不变,然后再化成最简根式。

根号24怎么化简

根号24怎么化简

2、所以根号24的简化过程如下图所示

根号24怎么化简

  • sin30度是多少怎么算
  • 增函数减函数怎么判断
  • 根号下分数怎么化简
  • 高一三角函数公式大全表格
  • 三角函数公式
  • 热门搜索
    圣诞节手抄报图片 红旗渠精神手抄报 精美手抄报 语言文字规范化手抄报 三年级安全手抄报 道德手抄报 反映寒假生活的手抄报 手抄报花边图片大全 森林防火手抄报资料 运动会手抄报内容