∫x^3/9+X^2 dx. 不定积分的详细步骤过程和答案,拜托大神。

 时间:2026-02-13 15:30:54

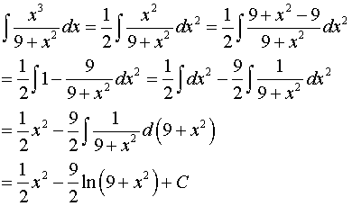
具体如图:

∫x^3/9+X^2 dx. 不定积分的详细步骤过程和答案,拜托大神。

连续函数,一定存在定积分和不定积分;若在有限区间[a,b]上只有有限个间断点且函数有界,则定积分存在;若有跳跃、可去、无穷间断点,则原函数一定不存在,即不定积分一定不存在。

扩展资料:

含有a+bx的积分公式主要有以下几类: 

∫x^3/9+X^2 dx. 不定积分的详细步骤过程和答案,拜托大神。

∫x^3/9+X^2 dx. 不定积分的详细步骤过程和答案,拜托大神。

∫x^3/9+X^2 dx. 不定积分的详细步骤过程和答案,拜托大神。

∫x^3/9+X^2 dx. 不定积分的详细步骤过程和答案,拜托大神。

把函数在某个区间上的图象[a,b]分成n份,用平行于y轴的直线把其分割成无数个矩形,再求当n→+∞时所有这些矩形面积的和。

设f(x)在区间[a,b]上连续,则f(x)在[a,b]上可积。设f(x)区间[a,b]上有界,且只有有限个间断点,则f(x)在[a,b]上可积。设f(x)在区间[a,b]上单调,则f(x)在[a,b]上可积。

参考资料来源:百度百科——不定积分

  • PPT2016文档幻灯片中图片怎么设置为虚化效果
  • 冰壶英语介绍是什么
  • word怎么拒绝所有修改
  • 弹力球弹跳效果PPT制作
  • ppt中图片如何垂直翻转
  • 热门搜索
    英语手抄报内容笑话 小学生读书手抄报内容 手抄报之家 绿色植物手抄报 英雄人物手抄报 节约水资源手抄报 关于传染病的手抄报 关于童话故事的手抄报 科普手抄报资料 生态文明手抄报内容